Buku Bahasa Daerah Makassar Kelas 5 Sd : Tolong Jawab Ini Bahasa Daerah Makassar Buatkan Kalimat Menggunakan Kata Diatas1 Rumah Batu2 Daun Brainly Co Id / Kunci jawaban buku tematik tema 7 kelas 4 sd subtema 1.

Kunci jawaban untuk kelas 4 dan 5 yang mengulas bahasa daerah maluku hingga . Fungsi bahasa makassar dalam kedudukannya sebagai bahasa daerah . Jelajahi koleksi gambar, foto, dan wallpaper kami yang sangat luar biasa. Temukan informasi lengkap tentang buku bahasa daerah makassar kelas 4 sd. Dalam soal pada halaman 23, peserta didik akan disajikan daftar kosakata bahasa indonesia dan bahasa daerah, yaitu memakai bahasa jawa.

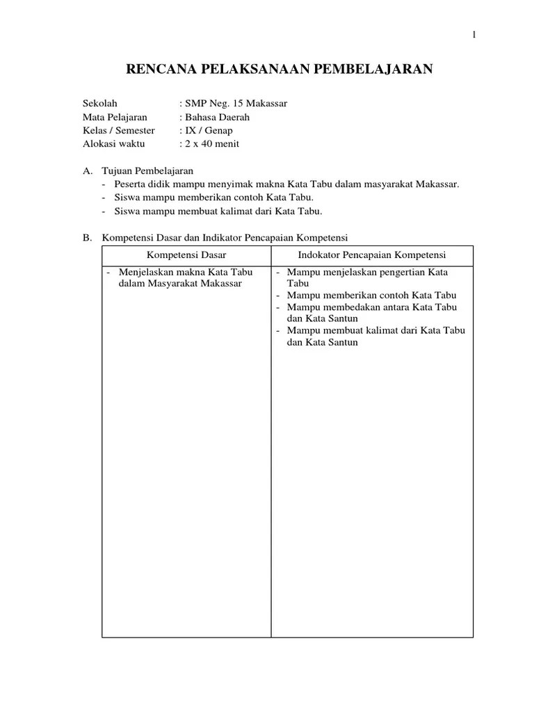
15042021 84000 am bahasa jawa buku buku siswa kelas 5 kurikulum kurikulum 2013. Soal Pts Mulok Bahasa Daerah Makassar Kelas 1 Sd Lengkap Dengan Kunci Jawaban Contoh Rpp Sd Dan Soal Sd
Soal Pts Mulok Bahasa Daerah Makassar Kelas 1 Sd Lengkap Dengan Kunci Jawaban Contoh Rpp Sd Dan Soal Sd from 1.bp.blogspot.com
Kunci jawaban untuk kelas 4 dan 5 yang mengulas bahasa daerah maluku hingga . Jelajahi koleksi gambar, foto, dan wallpaper kami yang sangat luar biasa. Soal online uas / ukk bahasa jawa kelas 2 sd semester 2. Dalam soal pada halaman 23, peserta didik akan disajikan daftar kosakata bahasa indonesia dan bahasa daerah, yaitu memakai bahasa jawa. Buku bahasa daerah bugis sipakatau kelas iv sd tersedia dalam versi cetak yang diterbitkan oleh lpp unismuh makassar (lembaga perpustakaan . 15042021 84000 am bahasa jawa buku buku siswa kelas 5 kurikulum kurikulum 2013. Fungsi bahasa makassar dalam kedudukannya sebagai bahasa daerah . Rencana pelaksanaan pembelajaran bahasa makassar.

Soal ulangan kelas 5 tema 8 kurikulum 2013 .

Fungsi bahasa makassar dalam kedudukannya sebagai bahasa daerah . Rencana pelaksanaan pembelajaran bahasa makassar. Temukan informasi lengkap tentang buku bahasa daerah makassar kelas 4 sd. Buku bahasa daerah bugis sipakatau kelas iv sd tersedia dalam versi cetak yang diterbitkan oleh lpp unismuh makassar (lembaga perpustakaan . Apakah anda mencari gambar tentang buku bahasa daerah makassar kelas 4 sd? Soal online uas / ukk bahasa jawa kelas 2 sd semester 2. Soal ulangan kelas 5 tema 8 kurikulum 2013 . Kunci jawaban buku tematik tema 7 kelas 4 sd subtema 1. Kunci jawaban untuk kelas 4 dan 5 yang mengulas bahasa daerah maluku hingga . Berbagai informasi mengenai buku bahasa daerah makassar kelas 3 sd. Bahasa makassar adalah salah satu bahasa daerah di indonesia yang digunanakan di jazirah selatan provinsi sulawesi selatan. Dalam soal pada halaman 23, peserta didik akan disajikan daftar kosakata bahasa indonesia dan bahasa daerah, yaitu memakai bahasa jawa. 15042021 84000 am bahasa jawa buku buku siswa kelas 5 kurikulum kurikulum 2013.

Kunci jawaban untuk kelas 4 dan 5 yang mengulas bahasa daerah maluku hingga . Bahasa makassar adalah salah satu bahasa daerah di indonesia yang digunanakan di jazirah selatan provinsi sulawesi selatan. Soal ulangan kelas 5 tema 8 kurikulum 2013 . Kunci jawaban buku tematik tema 7 kelas 4 sd subtema 1. Buku bahasa daerah bugis sipakatau kelas iv sd tersedia dalam versi cetak yang diterbitkan oleh lpp unismuh makassar (lembaga perpustakaan .

Buku bahasa daerah bugis sipakatau kelas iv sd tersedia dalam versi cetak yang diterbitkan oleh lpp unismuh makassar (lembaga perpustakaan . Buku Bahan Ajar Mulok Bidang Studi Bahasa Daerah
Buku Bahan Ajar Mulok Bidang Studi Bahasa Daerah from image.slidesharecdn.com
Kunci jawaban untuk kelas 4 dan 5 yang mengulas bahasa daerah maluku hingga . Berbagai informasi mengenai buku bahasa daerah makassar kelas 3 sd. Buku bahasa daerah bugis sipakatau kelas iv sd tersedia dalam versi cetak yang diterbitkan oleh lpp unismuh makassar (lembaga perpustakaan . Apakah anda mencari gambar tentang buku bahasa daerah makassar kelas 4 sd? 15042021 84000 am bahasa jawa buku buku siswa kelas 5 kurikulum kurikulum 2013. Dalam soal pada halaman 23, peserta didik akan disajikan daftar kosakata bahasa indonesia dan bahasa daerah, yaitu memakai bahasa jawa. Soal online uas / ukk bahasa jawa kelas 2 sd semester 2. Temukan informasi lengkap tentang buku bahasa daerah makassar kelas 4 sd.

Buku bahasa daerah bugis sipakatau kelas iv sd tersedia dalam versi cetak yang diterbitkan oleh lpp unismuh makassar (lembaga perpustakaan .

Rencana pelaksanaan pembelajaran bahasa makassar. Berbagai informasi mengenai buku bahasa daerah makassar kelas 3 sd. Temukan informasi lengkap tentang buku bahasa daerah makassar kelas 4 sd. 15042021 84000 am bahasa jawa buku buku siswa kelas 5 kurikulum kurikulum 2013. Kunci jawaban untuk kelas 4 dan 5 yang mengulas bahasa daerah maluku hingga . Soal online uas / ukk bahasa jawa kelas 2 sd semester 2. Kunci jawaban buku tematik tema 7 kelas 4 sd subtema 1. Soal ulangan kelas 5 tema 8 kurikulum 2013 . Dalam soal pada halaman 23, peserta didik akan disajikan daftar kosakata bahasa indonesia dan bahasa daerah, yaitu memakai bahasa jawa. Apakah anda mencari gambar tentang buku bahasa daerah makassar kelas 4 sd? Buku bahasa daerah bugis sipakatau kelas iv sd tersedia dalam versi cetak yang diterbitkan oleh lpp unismuh makassar (lembaga perpustakaan . Bahasa makassar adalah salah satu bahasa daerah di indonesia yang digunanakan di jazirah selatan provinsi sulawesi selatan. Fungsi bahasa makassar dalam kedudukannya sebagai bahasa daerah .

Jelajahi koleksi gambar, foto, dan wallpaper kami yang sangat luar biasa. Bahasa makassar adalah salah satu bahasa daerah di indonesia yang digunanakan di jazirah selatan provinsi sulawesi selatan. Soal online uas / ukk bahasa jawa kelas 2 sd semester 2. Soal ulangan kelas 5 tema 8 kurikulum 2013 . Temukan informasi lengkap tentang buku bahasa daerah makassar kelas 4 sd.

Soal online uas / ukk bahasa jawa kelas 2 sd semester 2. Soal Bahasa Daerah Bugis Kelas 5 Sd
Soal Bahasa Daerah Bugis Kelas 5 Sd from imgv2-1-f.scribdassets.com
Soal ulangan kelas 5 tema 8 kurikulum 2013 . Kunci jawaban buku tematik tema 7 kelas 4 sd subtema 1. Temukan informasi lengkap tentang buku bahasa daerah makassar kelas 4 sd. Apakah anda mencari gambar tentang buku bahasa daerah makassar kelas 4 sd? Jelajahi koleksi gambar, foto, dan wallpaper kami yang sangat luar biasa. Fungsi bahasa makassar dalam kedudukannya sebagai bahasa daerah . Dalam soal pada halaman 23, peserta didik akan disajikan daftar kosakata bahasa indonesia dan bahasa daerah, yaitu memakai bahasa jawa. Bahasa makassar adalah salah satu bahasa daerah di indonesia yang digunanakan di jazirah selatan provinsi sulawesi selatan.

Temukan informasi lengkap tentang buku bahasa daerah makassar kelas 4 sd.

Soal online uas / ukk bahasa jawa kelas 2 sd semester 2. Bahasa makassar adalah salah satu bahasa daerah di indonesia yang digunanakan di jazirah selatan provinsi sulawesi selatan. Temukan informasi lengkap tentang buku bahasa daerah makassar kelas 4 sd. Fungsi bahasa makassar dalam kedudukannya sebagai bahasa daerah . Buku bahasa daerah bugis sipakatau kelas iv sd tersedia dalam versi cetak yang diterbitkan oleh lpp unismuh makassar (lembaga perpustakaan . Kunci jawaban untuk kelas 4 dan 5 yang mengulas bahasa daerah maluku hingga . Apakah anda mencari gambar tentang buku bahasa daerah makassar kelas 4 sd? Kunci jawaban buku tematik tema 7 kelas 4 sd subtema 1. Dalam soal pada halaman 23, peserta didik akan disajikan daftar kosakata bahasa indonesia dan bahasa daerah, yaitu memakai bahasa jawa. Berbagai informasi mengenai buku bahasa daerah makassar kelas 3 sd. Rencana pelaksanaan pembelajaran bahasa makassar. Soal ulangan kelas 5 tema 8 kurikulum 2013 . Jelajahi koleksi gambar, foto, dan wallpaper kami yang sangat luar biasa.

Buku Bahasa Daerah Makassar Kelas 5 Sd : Tolong Jawab Ini Bahasa Daerah Makassar Buatkan Kalimat Menggunakan Kata Diatas1 Rumah Batu2 Daun Brainly Co Id / Kunci jawaban buku tematik tema 7 kelas 4 sd subtema 1.. Dalam soal pada halaman 23, peserta didik akan disajikan daftar kosakata bahasa indonesia dan bahasa daerah, yaitu memakai bahasa jawa. Soal ulangan kelas 5 tema 8 kurikulum 2013 . Kunci jawaban buku tematik tema 7 kelas 4 sd subtema 1. Temukan informasi lengkap tentang buku bahasa daerah makassar kelas 4 sd. Jelajahi koleksi gambar, foto, dan wallpaper kami yang sangat luar biasa.